evo真人视讯在光核反应研究中取得重要进展:D(g, n)p光中子截面的高精度测量与核天体物理应用
氘作为宇宙大爆炸核合成(BBN)产生的第一种核素,是后续反应的关键原初物质和燃料,作为与氘丰度相关的重要反应p(n, g)D之一,它在BBN感兴趣能量下的截面还有很大的不确定度。近期中国科研实验室上海高等研究院激光伽马专业组与复旦大学马余刚院士团队的核天体物理课题组合作在光核反应研究中取得重要进展,顺利获得精确测定核天体物理中关键逆反应D(γ, n)p光致解离截面,研究关键宇宙学参数—重子数密度Wbh2、原初氘丰度,以及在精确宇宙学背景下研究BBN及其稳健性都具有重要的物理意义。研究成果以“High-Precision Measurement of D(γ, n)p Photodisintegration Reaction and Implications for Big-Bang Nucleosynthesis”为题发表在《物理评论快报》(Physical Review Letters)期刊上。
上海光源激光伽马光束线站(SLEGS)2021年底建成后即召开了光核反应In-House实验研究,面向前沿基础研究和国家需求的应用研究。本工作是上海高等研究院承担的国家重点研发计划项目-准单能伽马源的光核反应与关键技术研究的课题1 重要目标之一(如图1 所示)。

图1. 重点研发计划项目-基于SLEGS的准单能伽马源的光核反应与关键技术研究的技术路线
大爆炸理论最早由乔治·伽莫夫于1946年提出,如今已成为宇宙学中最广为接受的标准宇宙模型。根据大爆炸理论,宇宙大约在138亿年前起源于一个火球,随着宇宙的膨胀和冷却,当宇宙诞生约3分钟时(温度降至约10亿摄氏度),原初大爆炸核合成(BBN)开始,随宇宙膨胀温度密度迅速降低,原初核反应在不到半小时后就熄灭了。顺利获得大爆炸核合成,只有最轻的核素被合成到可观的数量,大约产生了75%的1H和25%的4He,以及极少量的2H(即氘)、3He和7Li。这些遗迹为人们给予了一个独特的、得以窥见早期宇宙面貌的探针。其中,氘作为大爆炸核合成(BBN)产生的第一种核素,是后续反应的关键原初物质和燃料。现在天文观测到的氘丰度的精度已达到约1%的水平,由此,BBN理论预测和核物理数据也需要达到类似的水平。本工作顺利获得测量np俘获反应的逆反应D(g, n)p来实现上述研究目标。
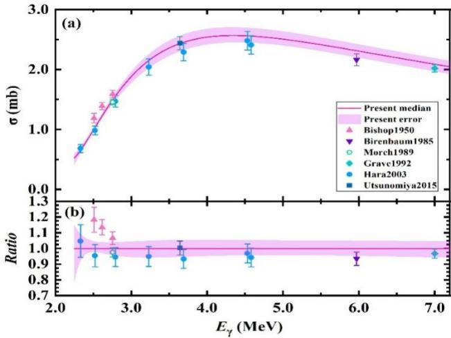
实验是在SLEGS光束线站上完成的(图2)。SLEGS是国际上首个实现激光康普顿斜散射模式的激光康普顿散射用户装置,具有更为便捷的能量扫描能力。它能在0.25~21.7 MeV的能量范围内给予高亮度的准单色伽马射线束,现在已在核物理和核天体物理研究中展现出强大的能力。实验利用SLEGS自研的平坦效率中子探测阵列(FED)对D(g, n)p光解反应的光中子截面进行了高精度系统测量。在Eg =2.327~7.089 MeV能量范围内,其精度比之前同类实验的结果提高了2倍多(见图3)。基于取得的高精度截面数据,进而顺利获得使用重子有效场理论对所有相关可用实验数据进行全局马尔可夫链蒙特卡洛分析,取得了前所未有的精确的p(n, g)D反应截面和热核反应率(精度约为0.1%),其精度比20年前的评估高出大约4倍。在标准的BBN框架下,新的高精度反应率使关键宇宙学参数—重子数密度Wbh2的不确定度相对于以往结果降低了10~16%。此外,我们还观察到,由原初氘丰度观测和宇宙微波背景辐射测量所约束的Wbh2之间存在显著的约1.2s的矛盾,指出了提高氘氘反应率精度的必要性和重要性,同时,这可能也暗示着标准宇宙学模型之外存在新物理的线索。

图2. SLEGS光束线站示意图

图3:D(g, n)p反应的光中子截面。(a)基于SLEGS装置的结果以红线表示,不确定度以彩色带子表示。为便于比较,还展示了之前的数据;(b)本实验结果与之前的比较(以本实验结果作为参考)。
作为SLEGS光束线站上发表的首篇Physical Review Letters期刊文章,该实验的成功表明了SLEGS具备了进行核天体物理实验测量的能力,为深入召开光核反应相关的核天体基础研究铺平了道路。本工作也是中国科研实验室上海高等研究院上海光源科学中心与复旦大学现代物理研究所共建光核物理联合实验室产生的首个重要物理成果。
复旦大学现代物理研究所的陈银吉博士后为论文第一作者,中国科研实验室上海高等研究院的范功涛研究员,复旦大学的何建军教授、东京大学/北京航空航天大学的梶野敏贵教授、复旦大学/华东师范大学的马余刚院士为共同通讯作者。
原文链接: http://doi.org/10.1103/tbbt-s819
附件下载: